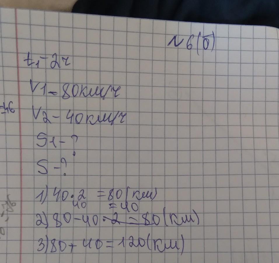
а) Два велосипедиста из одной деревни одновременно двинулись в одном направлении. Первый - 15 км / ч, второй - 12 км / ч. Какое расстояние они преодолевают за 4 часа? б) Автобус двигался из пункта А в пункт с. Через два часа за ним последовала машина. Если скорость автобуса 40 км / ч, а скорость автомобиля 80 км / ч, как далеко машина догонит автобус от точки A?
Ответы
Ответ дал:
1
Пошаговое объяснение:
Если не правильно ссори
Приложения:


erkesmagulova3:
Полезно!
Ответ дал:
2
Ответ:
А)15×4+12×4=108км
Б)(80-40)×2=80км
Пошаговое объяснение:
Вас заинтересует
2 года назад
2 года назад
3 года назад
8 лет назад
8 лет назад
9 лет назад