Ответы
Ответ дал:
0
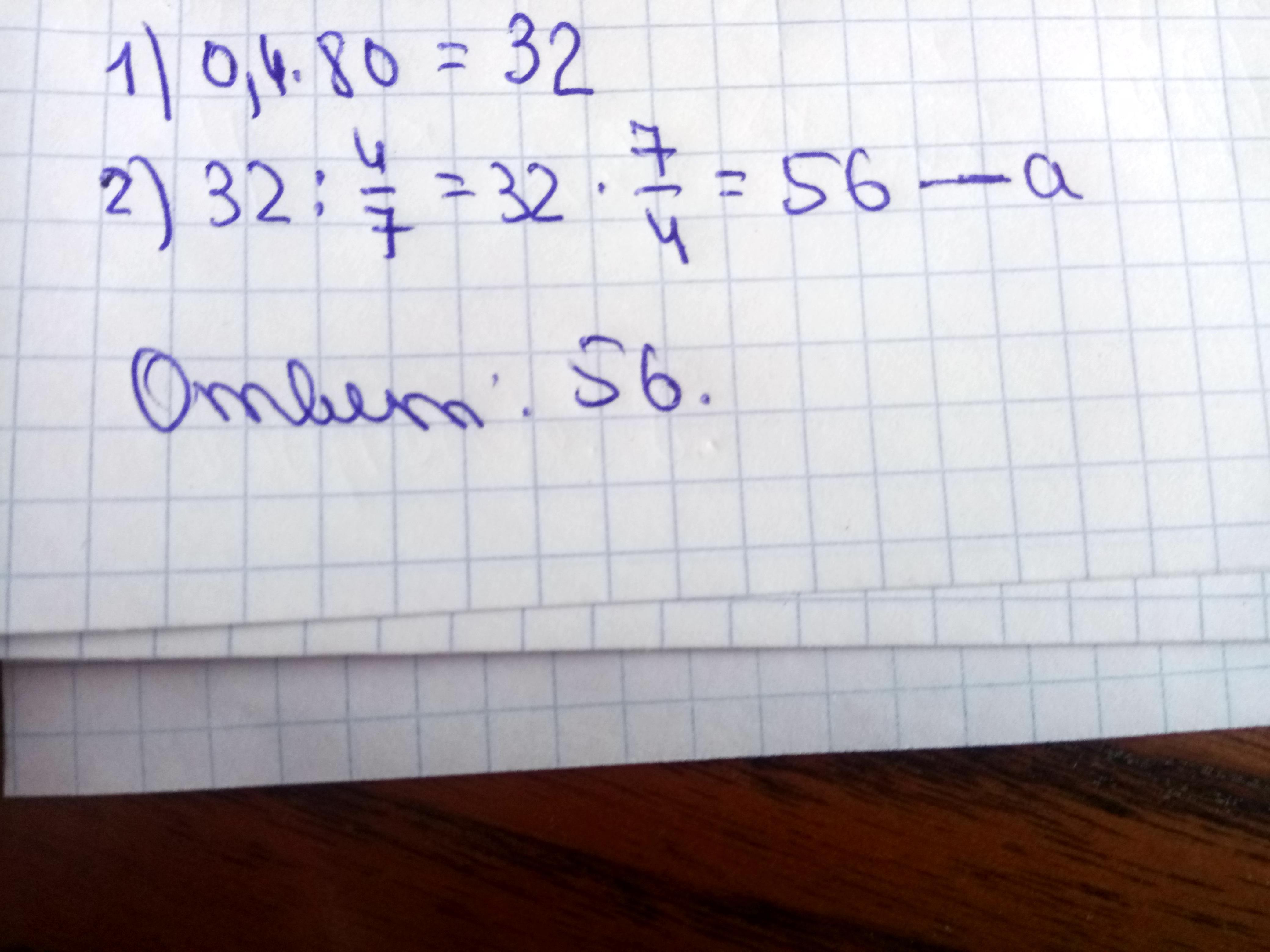
Йотает 56
Решение задания прилагаю
Приложения:

Ответ дал:
1
Если число (обозначим, как N) составляет какое-то количество от другого (обозначим, как M), то это означает, что надо умножить число N на число M. Или же:
N ⋅ M
Число “a” — это у нас как-бы число N, а 4/7 — это M. Выполним действие по формуле, данной сверху:
a ⋅ 4/7 = 40% от 80.
С процентами немного по-другому. Надо выполнить те же действия, что и сверху, но ещё разделить на 100.
80 ⋅ 40/100 = 32
a ⋅ 4/7 = 32
Чтоб найти неизвестное «а», надо разделить 32 на 4/7
32 : 4/7 = 32 ⋅ 7/4 = 56
Ответ: a = 56
Вас заинтересует
2 года назад
2 года назад
3 года назад
3 года назад
8 лет назад
8 лет назад
9 лет назад
9 лет назад