Ответы
Ответ дал:
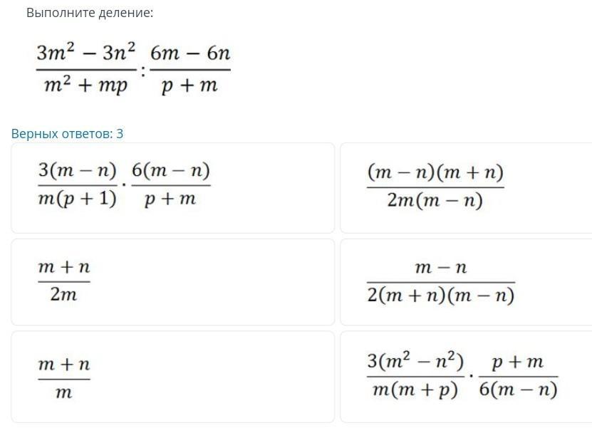
1
Ответ:
Объяснение:
...............
Приложения:


tatsach:
Вообще то ответ 1, а второй это порядок действий
Вас заинтересует
2 года назад
2 года назад
3 года назад
3 года назад
8 лет назад
8 лет назад
9 лет назад