• Предмет: Математика
  • Автор: lymar89
  • Вопрос задан 8 лет назад

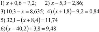
Розвяжите 6 рівнянь. пж (5 клас)

Приложения:

lymar89: розвязать до 15:00

Ответы

Ответ дал: chvartkovskayaveroni
1

Вроде так, если что-то не правильно сори))))

Приложения:

lymar89: большоу спасибо!
lymar89: *большое
Вас заинтересует