• Предмет: Алгебра
  • Автор: Arishadaniil
  • Вопрос задан 8 лет назад

Решите систему неравенств пожалуйста ❤​

Приложения:

Ответы

Ответ дал: Kabenova7
1

Ответ:

Решение на фотографии)

Приложения:

Arishadaniil: спасибо)
Ответ дал: Universalka
1

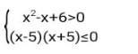
\left \{ {{x^{2}-x+6>0 } \atop {(x-5)(x+5)\leq0 }}\right.

1)x^{2}-x+6=0\\\\D=(-1)^{2}-4\cdot6=1-24=-23<0

Дискриминант квадратного трёхчлена меньше нуля, старший коэффициент равен 1 , то есть больше нуля , значит :

x² - x + 6 > 0 при любых действительных значениях x , то есть :

x ∈ R

2) (x - 5)(x + 5) ≤ 0

    +                   -                  +

______[- 5]_______[5]_______

             /////////////////////

Ответ : x ∈ [- 5  ;  5]

Вас заинтересует