• Предмет: Математика
  • Автор: kaigames0130
  • Вопрос задан 8 лет назад

 
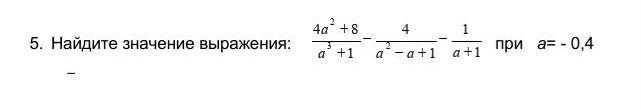
1.    Найдите значение выражения:    

Приложения:

Ответы

Ответ дал: TamillaAmirbeyova
1

Ответ:

.............................

Приложения:

kaigames0130: спасибо
Вас заинтересует
10 лет назад