• Предмет: Геометрия
  • Автор: arinavolsk
  • Вопрос задан 11 лет назад

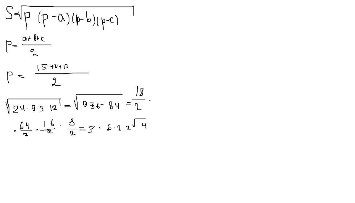
Подобные треуольники. Формула Герона для нахождения S. 8 класс Решите пожалуйста

Приложения:

Ответы

Ответ дал: qwertyhappy
0
Djn lth;b gj ajhvekt uthjyf
Приложения:
Вас заинтересует