• Предмет: Алгебра
  • Автор: rakhimullinr
  • Вопрос задан 8 лет назад

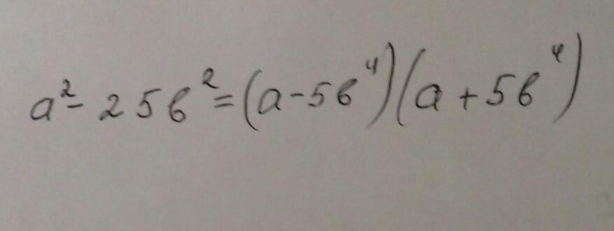
разложите на множители а2-25b8

Ответы

Ответ дал: Аноним
1

Объяснение:

а2-25b8=a•2-200b=2(a-100b)

Ответ дал: TamillaAmirbeyova
1

Ответ:

.................................

Приложения:

TamillaAmirbeyova: за правильное решение надо оценку ставить.
Аноним: у вас ошибка
Вас заинтересует