Ответы
Ответ дал:
4
////////////////////
Приложения:

Аноним:
тут можно ?
Ответ дал:
0
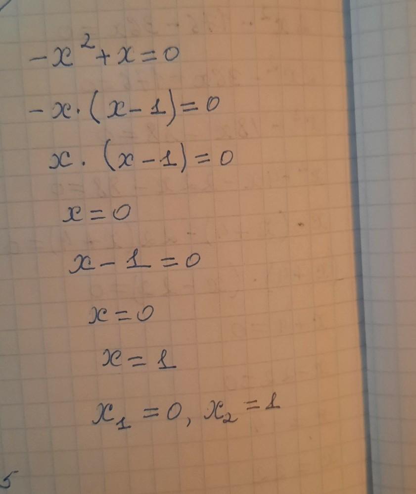
Ответ:
-x(x-1)=0
x(x-1)=0
x=0 или x-1=0
x=0, x=1
Вас заинтересует
2 года назад
2 года назад
3 года назад
8 лет назад
8 лет назад
9 лет назад
9 лет назад