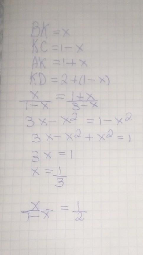
точки A, B, C, D лежат в указанном порядке на прямой и АВ=BC= 1, СD=2. Точка К расположена на луче ВС и делит отрезки ВС и АD в одном и том том же отношении: ВК:КС=AK:KD в том же отношении : BK:KC=AK:KD.
Найдите это отношение.
Ответы
Ответ дал:
3
Ответ:
.......
Объяснение:
Всё во вложении....)
Приложения:

Вас заинтересует
2 года назад
3 года назад
3 года назад
8 лет назад
9 лет назад