• Предмет: Математика
  • Автор: zheka180
  • Вопрос задан 8 лет назад

ПОМОГИТЕ!!! СРОЧНО!!!

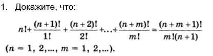
Приложения:

Ответы

Ответ дал: harcenkoevgen222
0

Ответ:

1

Пошаговое объяснение:

Вас заинтересует