Ответы
Ответ дал:
0
Ответ:
Ответ на фото..........
Приложения:

Ответ дал:
0
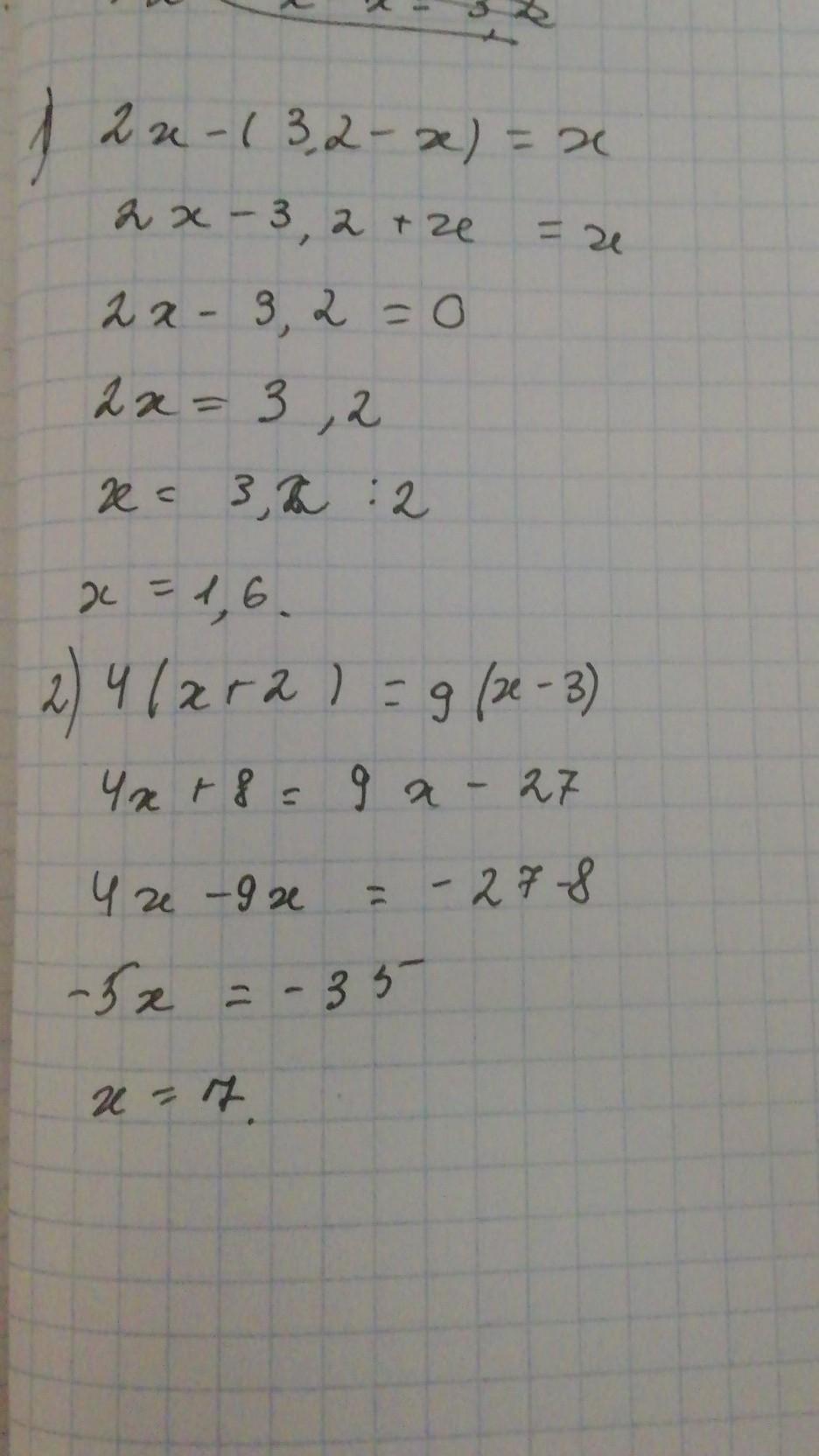
1) 2х-(3.2-х)=х
2х-3.2+х=х
2х+х-х=3.2
2х=3.2
х=1.6
2) 0.4х-2.3=-1.6х-0.7
0.4х+1.6х=-0.7+2.3
2х=1.6
х=0.8
3) 4(х+2)=9(х-3)
4х+8=9х-27
4х-9х=-27-8
-5х=-35
х=7
4) 2(3х-4)+3=8х-23
6х-8+3=8х-23
6х-8х=-23+8-3
-2х=-18
х=9
5) 8х-15+2х=40+2х-15
8х+2х-2х=40-15+15
8х=40
х=5
Вас заинтересует
8 лет назад
8 лет назад
9 лет назад
9 лет назад