• Предмет: Алгебра
  • Автор: ogannisyangr32
  • Вопрос задан 8 лет назад

СРОЧНО!!! ДАМ 50 БАЛЛОВ

Приложения:

kirill07065: эээ

Ответы

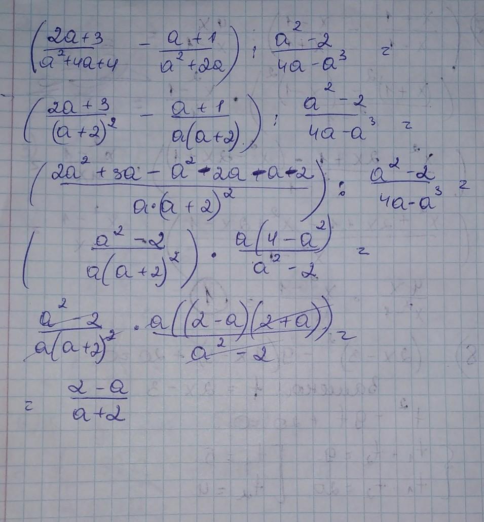
Ответ дал: javohbekbulsinov0303
2

Объяснение:

Все показано на рисунке.

Отметьте ответ лучшим)))

Приложения:

ogannisyangr32: Спасибо большое
javohbekbulsinov0303: Не за что))))
Ответ дал: kirill07065
0

Ответ:ВОТЬ

Объяснение:

Приложения:
Вас заинтересует