• Предмет: Алгебра
  • Автор: diaaaanaaaaaaa
  • Вопрос задан 8 лет назад

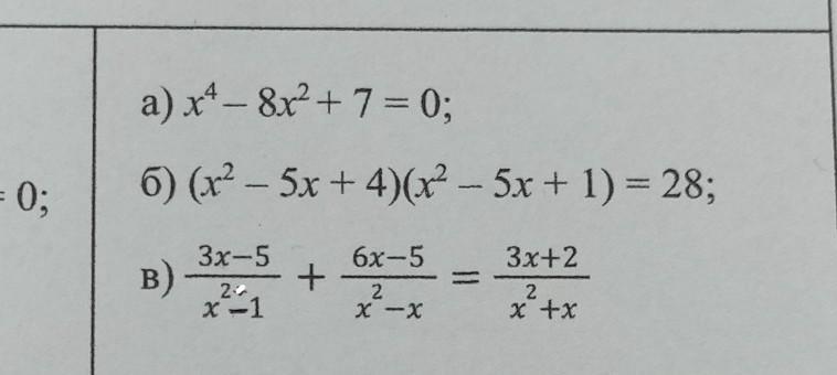
ПОМОГИ! АЛГЕБРА 8 класс. ЗНАЙТИ КОРЕНІ РІВНЯННЯ. ДЯКУЮ!!
Не по теоремі Вієта, будь ласка. Балов уже не осталось (((((​

Приложения:

Sserikbaev: посмотри решение— б
Аноним: Почему не по т. Виета? Учитель не разрешает? Это плохо.

Ответы

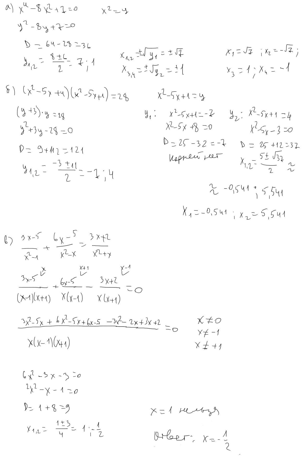
Ответ дал: Warlock1
1

Ответ:

так

Объяснение:

Приложения:
Вас заинтересует