• Предмет: Алгебра
  • Автор: Lerkoff
  • Вопрос задан 8 лет назад

Помогите пожалуйста, ничего не получается

Приложения:

Ответы

Ответ дал: lenaandreevala
1

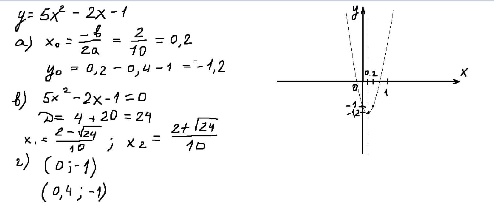
Ответ: На картинке. Нули функции получились страшными, но их наносить и не надо.

Приложения:
Вас заинтересует