Ответы
Ответ дал:
0
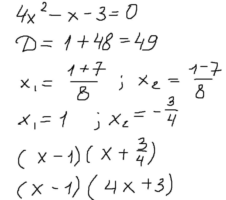
Ответ: на картинке
Объяснение: нужно найти корни трёхчлена и подставить в формулу разложения
Приложения:

Вас заинтересует
2 года назад
2 года назад
3 года назад
8 лет назад