Ответы
Ответ дал:
0
Ответ:
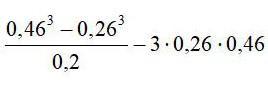
решение : 0,04
вроде правильно
Приложения:

shilohdynastycheeck:
Дело в том ,что мне нужен был алгоритм решения, а не ответ. Просто перемножить к сожалению нельзя, но все равно спасибо
Ответ дал:
0
Объяснение:
Вас заинтересует
2 года назад
3 года назад
3 года назад
8 лет назад
8 лет назад
9 лет назад