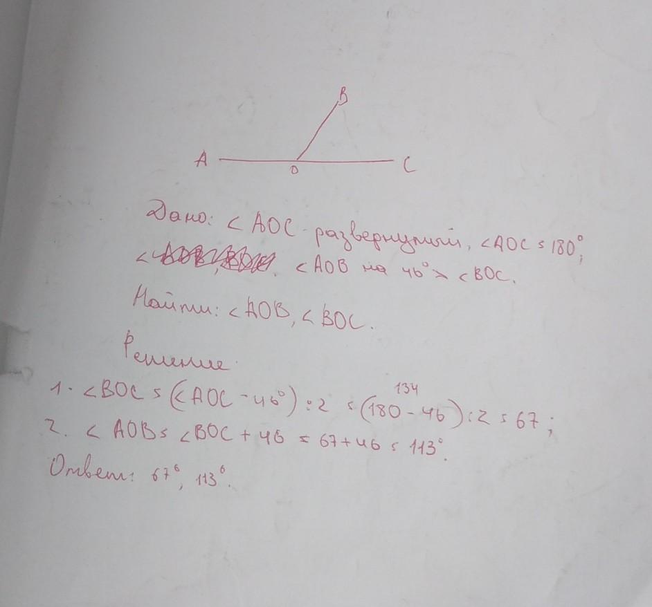
Найдите углы AOB и BOC,если AOB на 46 больше , чем BOC, а
AOC-развернутый. постройте чертеж .
помогите до 12.И ПОЖАЛУЙСТА С ЧЕРТЕЖОМ ,ПОМОГИТЕпж
Ответы
Ответ дал:
1
я не знаю как у вас но мы решаем так
Приложения:

xqwerwes:
спасибо большое, выручил
Вас заинтересует
2 года назад
2 года назад
3 года назад
3 года назад
8 лет назад
9 лет назад