• Предмет: Математика
  • Автор: ghfvxfgczdfcc
  • Вопрос задан 8 лет назад

Помогите пожалуйста.​

Приложения:

Ответы

Ответ дал: aiazbekalia
0

Ответ:

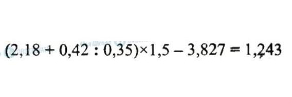
1)2,18+0,42=2,66

2)2,66/0,35=7,6

3)7,6*1,5=11,4

4)11,4-3,827=7,573

Пошаговое объяснение:

Ответ дал: gulmirasirinova
0
1. 0,42:0,35=1,2
2 .2,18+1,2=3,38
3 .3,38*1,5=5,07
4. 5,07-3,827=1,243

Вас заинтересует