• Предмет: Алгебра
  • Автор: also364
  • Вопрос задан 8 лет назад

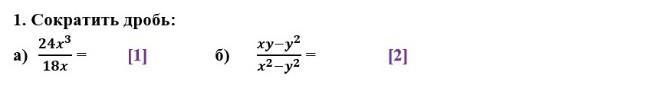
сократить дробь 24x³/18x и xy-y²/x²-y²​

Приложения:

Ответы

Ответ дал: ploxomne
1

Ответ:

Объяснение:

1) 4x^2/3

2)y/x+y


also364: спасибо огромное, но можно пожалуйста подробнее
Вас заинтересует