• Предмет: Математика
  • Автор: KT0T0TAMKTO
  • Вопрос задан 8 лет назад

Помогите решить пожалуйста.

Приложения:

Ответы

Ответ дал: ym6k
1

Ответ :

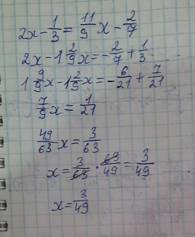
Ответ выше, на фото

Приложения:

KT0T0TAMKTO: быстро...
KT0T0TAMKTO: слишком быстро... флеш ты ли это?
ym6k: ахах, возможно, возможно
KT0T0TAMKTO: можешь помочь еще с другими заданиями?
Ответ дал: lylylylylylylylyly
0

Ответ:

1) х=3

2) х=4

3) х=0,75

4) х=3/49(х(примерно)=0,0612245 (0,06)

Вас заинтересует