Ответы
Ответ дал:
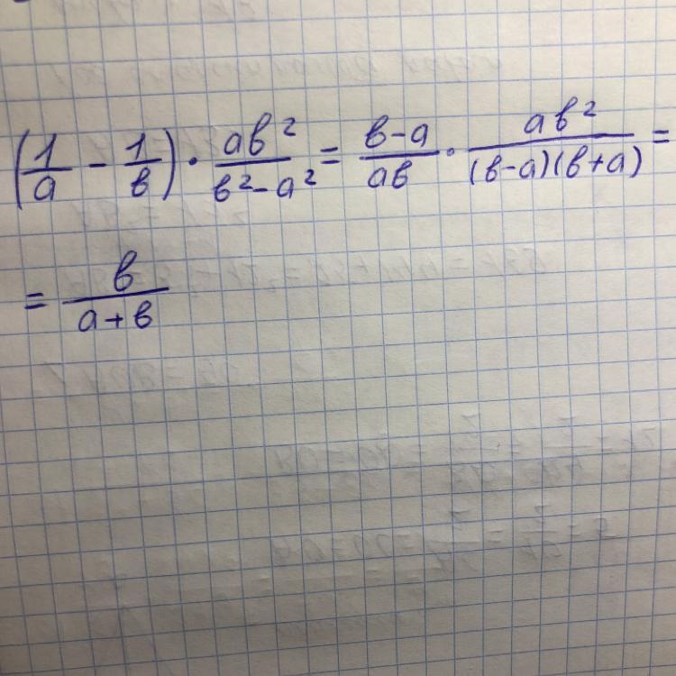
0
........................
Приложения:

ksicbann:
че
Вас заинтересует
2 года назад
3 года назад
3 года назад
8 лет назад
8 лет назад
9 лет назад