• Предмет: Алгебра
  • Автор: casca50
  • Вопрос задан 8 лет назад

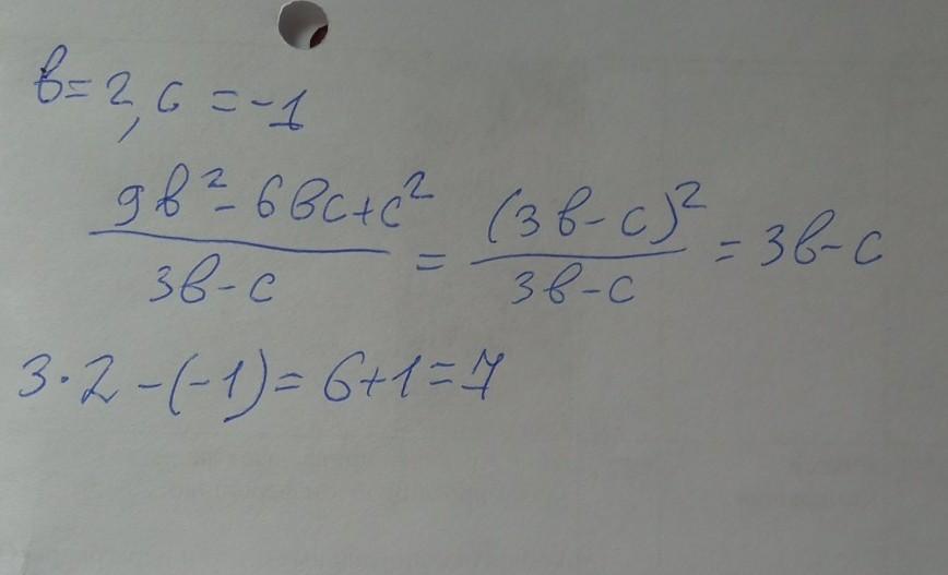
9b²-6bc+c²/3b-c

срочно пожалуйста!!​

Приложения:

Ответы

Ответ дал: asuvorov249
1

Объяснение:

(3b-c)^(2)/3b-c=3b-c

Ответ дал: sweetnansy1989
1

Ответ:

7

Объяснение:

смотрите фото вложение

Приложения:
Вас заинтересует