• Предмет: Алгебра
  • Автор: hoholshamil3232
  • Вопрос задан 8 лет назад

пожайлуста
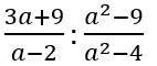
Выполните деление

Приложения:

Ответы

Ответ дал: sweetnansy1989
0

Ответ:

3(а+2)/а-3

Объяснение:

смотрите фото

Приложения:
Вас заинтересует