• Предмет: Алгебра
  • Автор: procena10
  • Вопрос задан 8 лет назад

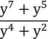
Сократить дробь на фотке

Приложения:

ramilasitvaldieva: а где фото?
procena10: загружено

Ответы

Ответ дал: zimaks00
0

Ответ:

y2

Объяснение:

/-обозначение дроби)

y7+y5/y4+y2=y12/y6=y2

Вас заинтересует