• Предмет: Алгебра
  • Автор: procena10
  • Вопрос задан 8 лет назад

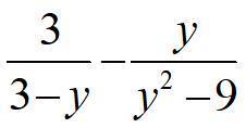
Выполните сложение и вычитание дробей

Приложения:

Ответы

Ответ дал: LeylaKan
0

Ответ:

вот ответ. надеюсь все понятно

Приложения:
Вас заинтересует