Помогите пожалуйста вычислить площадь фигуры по рисунку, даю 65 баллов, заранее огромное спасибо
(см. рисунок)
Приложения:

Ответы
Ответ дал:
0
Ответ:
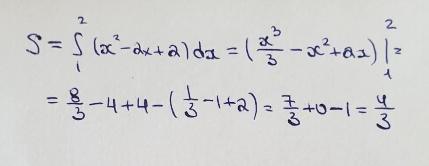
решение на фотографии.
Приложения:

Вас заинтересует
2 года назад
2 года назад
3 года назад
3 года назад
8 лет назад
8 лет назад
9 лет назад