Ответы
Ответ дал:
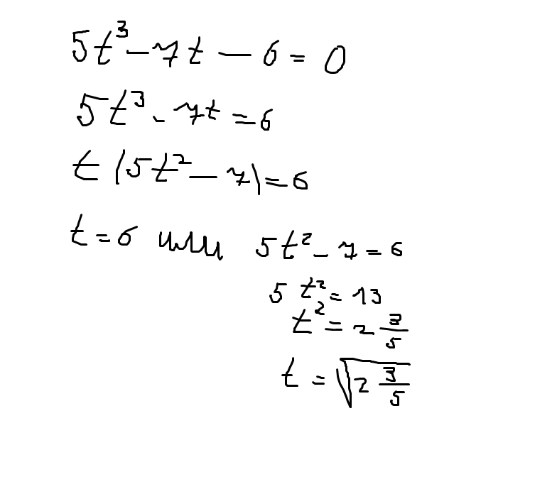
0
вроде так, хотя я не уверен
Приложения:

Вас заинтересует
2 года назад
2 года назад
8 лет назад
8 лет назад
10 лет назад
10 лет назад
10 лет назад