• Предмет: Алгебра
  • Автор: sevcenkovera85
  • Вопрос задан 8 лет назад

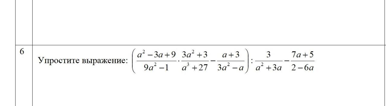
СРОЧНО ДАМ 50 БАЛОВ!!!!!!!!!!!!!!!!​

Приложения:

Ответы

Ответ дал: BoBerSeri
0

Ответ:

с 5 тым заданием, то что ты просил в предыдушем вопросе и 6 задание решил

Приложения:

BoBerSeri: там три фотографии если что
Вас заинтересует