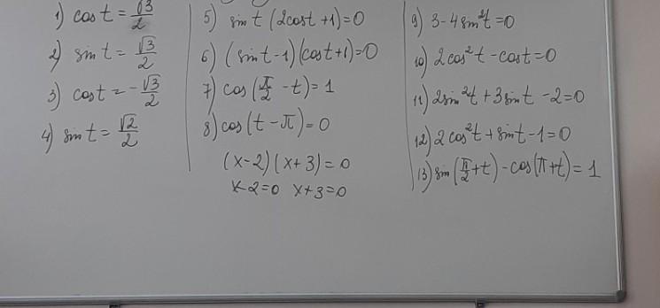
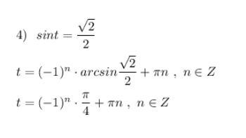
все, кроме sint(-корень из 3/2)
127
Приложения:

NNNLLL54:
много примеров для одного вопроса .............
Ответы
Ответ дал:
1
Ответ:
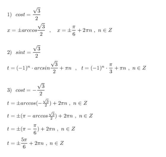
P.S. Выучить формулы для решения простейших тригонометрических уравнений !!!
Приложения:


arccos(sqrt3/2)=П/6
Вас заинтересует
3 года назад
8 лет назад
8 лет назад
9 лет назад