Ответы
Ответ дал:
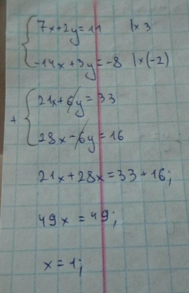
1
надіюсь допомогла
буду дуже вдячна якщо зробите кращою відповіддю ❤️
Приложения:


Вас заинтересует
2 года назад
3 года назад
8 лет назад
9 лет назад