• Предмет: Алгебра
  • Автор: karimzanovnaramida
  • Вопрос задан 8 лет назад

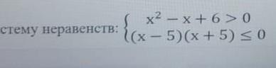
помогитее плиииззз..... ​

Приложения:

Аноним: мои мозги тупые, но я знаю что это не трудно

Ответы

Ответ дал: m11m
1

Ответ:

Объяснение:

!!!!!!!!!!!!!!!!!!!!!!!

Приложения:
Ответ дал: Lopkop6
1

Ответ:

xЄ [-5,5]

Объяснение

на фото

Приложения:
Вас заинтересует