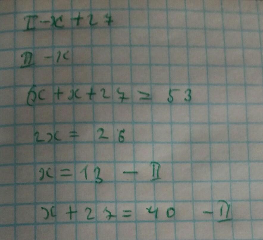
6. Одно число на 27 больше другого. Найдите эти числа, если их сум-
ма равна 53,
а) 13; 40;
б) 13; -40;
в) 40; 13;
г) 40; -13.
Ответы
Ответ дал:
1
Ответ:
А
Объяснение:
●《☆Я смог помочь!?☆》●
Приложения:

Вас заинтересует
2 года назад
2 года назад
3 года назад
3 года назад
8 лет назад