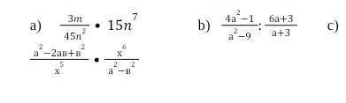
Выполните умножение и деление алгебраических дробей:
ПОЖАЛУЙСТА
ДАЮ 90 БАЛЛОВ
ТОЛЬКЛ БЫСТРЕЕ
Приложения:

Ответы
Ответ дал:
1
Ответ и объяснение на фотографии.
Приложения:

lana1202004:
b) (2a-1)/(3a-9)
Вас заинтересует
3 года назад
3 года назад
8 лет назад
8 лет назад
9 лет назад