• Предмет: Алгебра
  • Автор: mortisvapadi
  • Вопрос задан 8 лет назад

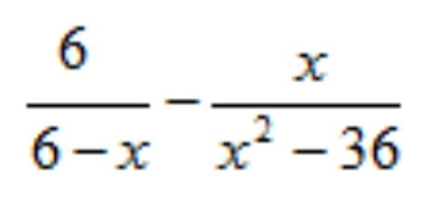
плиз помогите решить задачу

Приложения:

Ответы

Ответ дал: hahahajahahaja
0

Ответ:

может быть не правильно

Приложения:
Вас заинтересует