• Предмет: Геометрия
  • Автор: pawmatveev
  • Вопрос задан 8 лет назад

Помогите пожалуйста !!!до завтрашнего дня !!!К\Р по Геометрии 10 класс

Даю 100 баллов!!

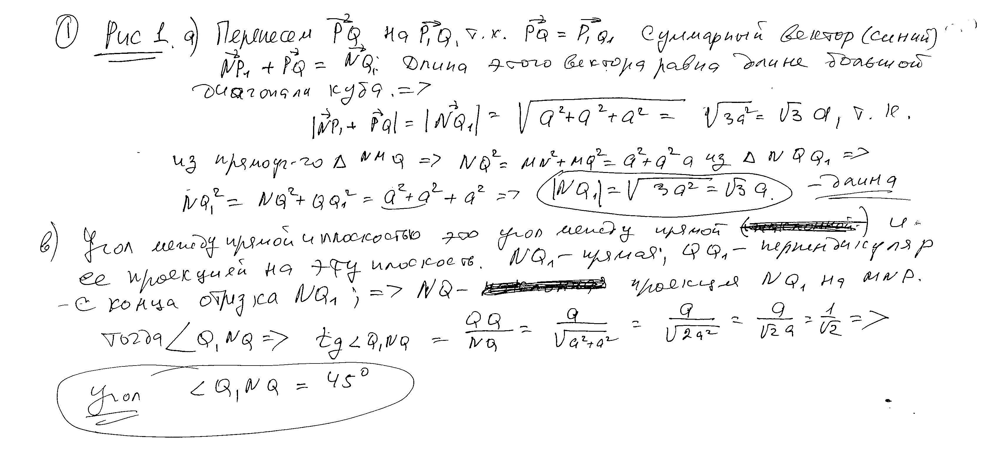
2. Дан куб MNPQM1N1P1Q1 ребро которого равно a(alpha)

а) Найдите | PQ+NP1 |

б) Угол между прямой NQ1 и плоскостью MNP.

3. Основанием пирамиды с вершиной O является параллелограмм ABCD,диагонали которого пересекаются в точке M .Разложите векторы OD,BO и AM по векторам a=OA,b=OB и c=OC

Ответы

Ответ дал: ужнеужели
1

Ответ:

Объяснение:

во вложенном файле три скана

Приложения:
Вас заинтересует