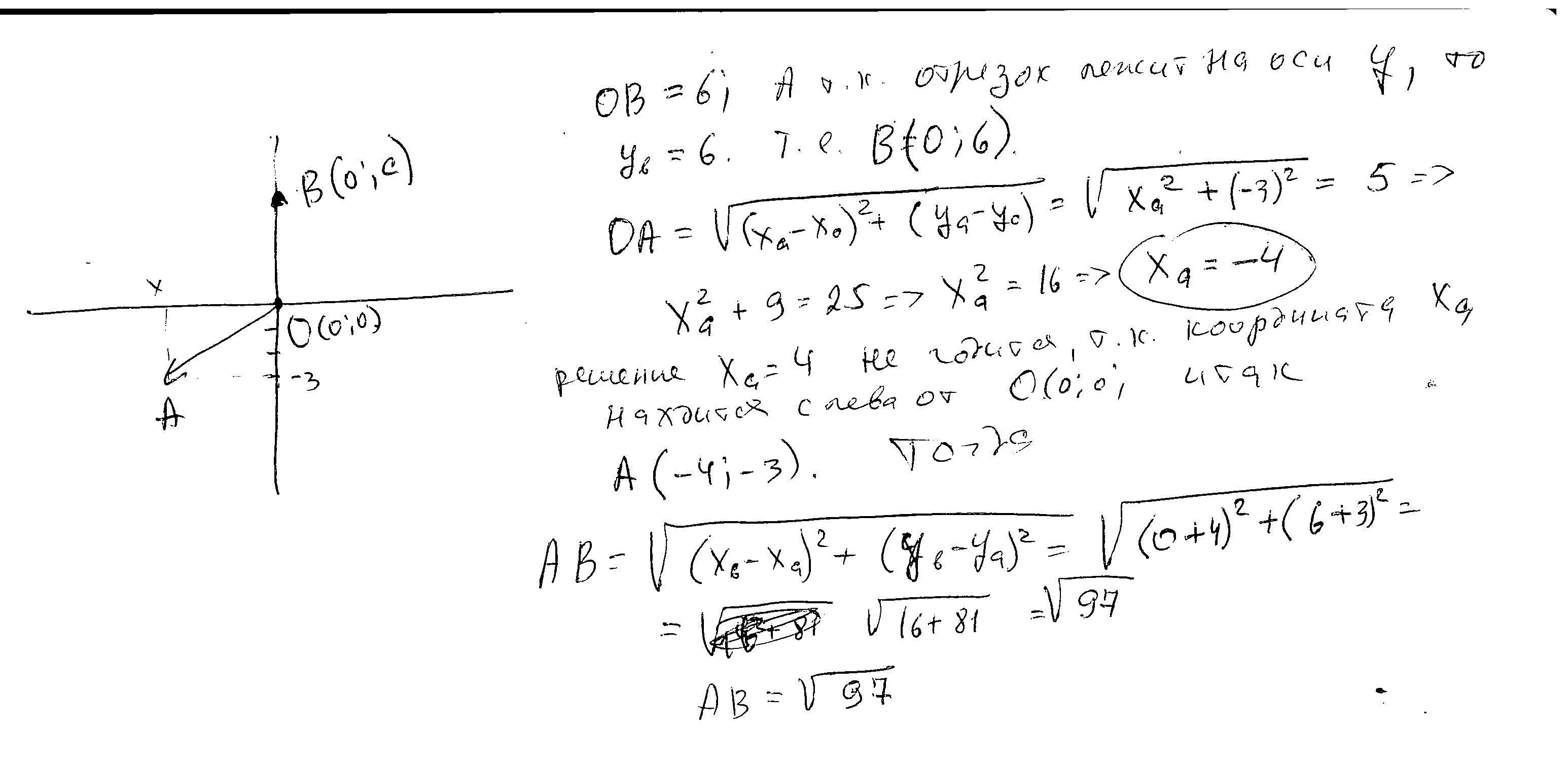
На рисунке ОВ = 6, ОА = 5. Точка А имеет координату (х; −3). Точка В имеет координату (0; с ).
a). Найдите координаты точек А .
b) Найдите координаты точек В.
с). Найдите длину отрезка АВ .
ужнеужели:
Нужны координаты точки О. Без них я не справлюсь. Может это начало координат?
Ответы
Ответ дал:
4
Ответ:
Объяснение:
во вложенном файле
Приложения:

Вас заинтересует
2 года назад
3 года назад
3 года назад
8 лет назад
8 лет назад
9 лет назад