• Предмет: Алгебра
  • Автор: IshkaRostishka
  • Вопрос задан 8 лет назад

Помогите, пожалуйста

Приложения:

Ответы

Ответ дал: serovaksusa1
0

Ответ:

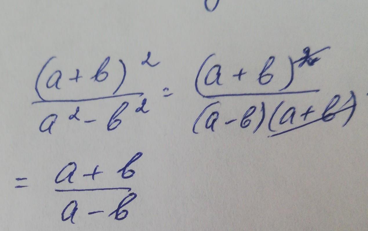
Смотри решение на фото

Приложения:

IshkaRostishka: а :(a+b)
IshkaRostishka: ??
serovaksusa1: я же написала ответ
IshkaRostishka: но там ведь нет - :(a+b)
serovaksusa1: да, я и не увидела!!!!
serovaksusa1: Я теперь и дописать туда не могу, я его решила!
serovaksusa1: А вы работу уже сдали учителю наверное?
serovaksusa1: Может вам здесь в комментах как-то написать этот пример
serovaksusa1: Что решили?
Вас заинтересует