Ответы
Ответ дал:
0
Пошаговое объяснение:
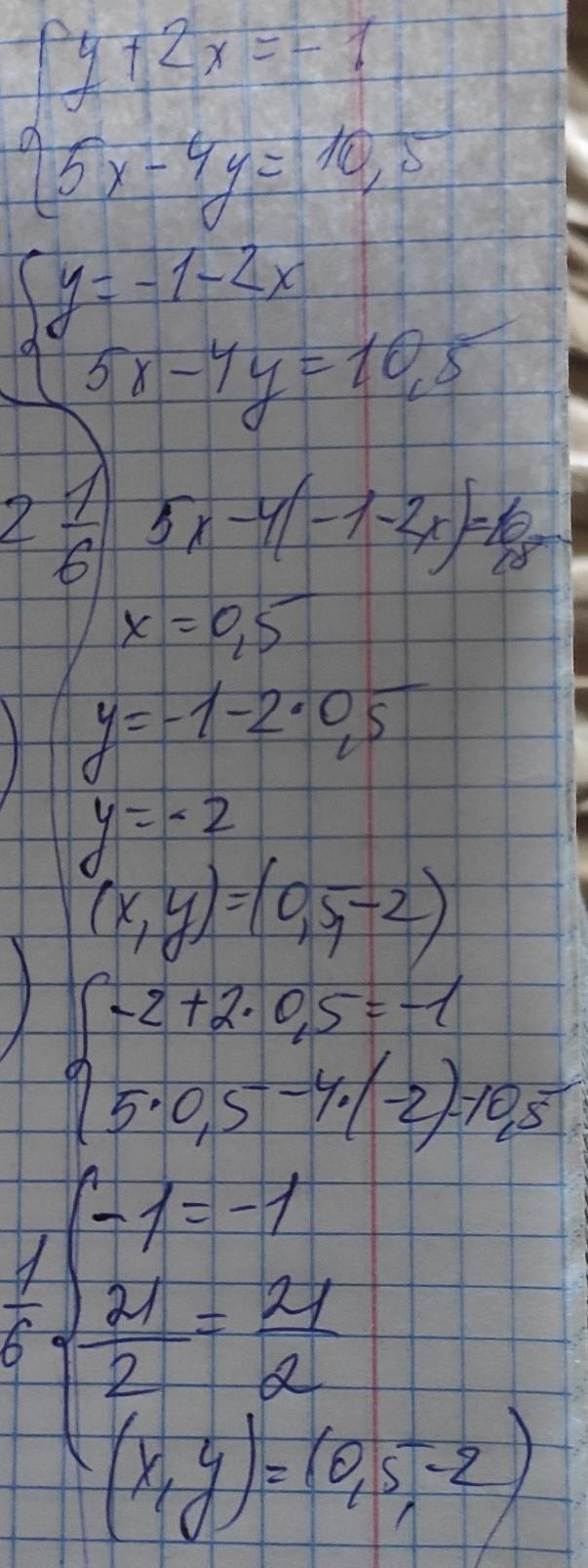
пошаговое объяснение все на фото
Приложения:



Вас заинтересует
2 года назад
3 года назад
3 года назад
8 лет назад
9 лет назад