• Предмет: Математика
  • Автор: Аноним
  • Вопрос задан 8 лет назад

СРОЧНООО 127 127 127​

Приложения:

Ответы

Ответ дал: sangers1959
1

Пошаговое объяснение:

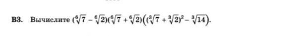
(\sqrt[6]{7} -\sqrt[6]{2})*(\sqrt[6]{7} +\sqrt[6]{2})*((\sqrt[3]{7}+\sqrt[3]{2} )^2-\sqrt[3]{14})=\\=((\sqrt[6]{7})^2-(\sqrt[6]{2})^2)*((\sqrt[3]{7})^2+2*\sqrt[3]{7*2} +(\sqrt[3]{2})^2-\sqrt[3]{14})=\\(\sqrt[3]{7} -\sqrt[3]{2})*((\sqrt[3]{7})^2+\sqrt[3]{14}  +(\sqrt[3]{2})^2)=(\sqrt[3]{7})^3-(\sqrt[3]{2})^3=7-2=5.


Аноним: да зачем
Аноним: новый сказала же
Аноним: вот сейчас не успею отправить и что мне будет
Аноним: новый вопрос посмотрите в профиле
Аноним: мне надо учителю отправить
Аноним: поможете или нет??
Аноним: ау!!!
Аноним: мне надо выслать
Аноним: как называются такие уравнения? хочу похожие найти
Аноним: примеры*
Вас заинтересует