• Предмет: Алгебра
  • Автор: lindigos
  • Вопрос задан 8 лет назад

СРОЧНООО, УРоВНЕНИЕ по ылгыбре

Приложения:

lusiazherihova: Молюсь, чтобы тебе ответили
lusiazherihova: Хвхвхвх

Ответы

Ответ дал: cragecsgo
1

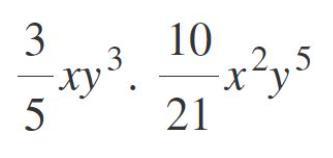
Ответ: 3/5 xy^3 * 10/21 x^2y^5= 2/7 * x^3y^8

знак ^ и число после него означает степень числа.

Вас заинтересует