гипотенуза равнобедренного прямоугольного треугольника равна C. Найдите катет и площадь этого треугольника.
Ответы
Ответ дал:
2
Ответ:
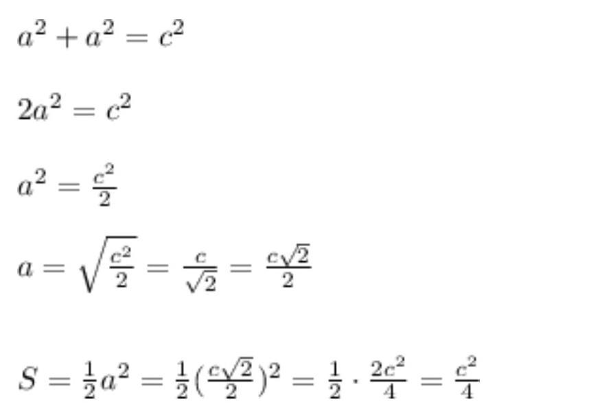
пусть а - катет, тогда по теореме Пифагора:
Ответ: а = (с√2)/2, S = c²/4
Приложения:

Вас заинтересует
2 года назад
3 года назад
9 лет назад