Ответы
Ответ дал:
0
Ответ:
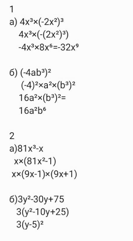
вот,если я правильно поняла
Приложения:

Вас заинтересует
2 года назад
3 года назад
3 года назад
8 лет назад
9 лет назад
9 лет назад