Розв’яжіть методом підстановки систему рівнянь
Решите методом подстановки систему уравнений
Приложения:

Ответы
Ответ дал:
1
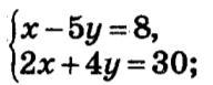
{ х - 5у = 8
{ 2х + 4у = 30
х = 8 + 5у
2 × (8 + 5у) + 4у = 30
16 + 10у + 4у = 30
14у = 30 - 16
14у = 14
у = 1
х = 8 + 5 × 1 = 8 + 5 = 13
{ х = 13
{ у = 1
Ответ: (13; 1)
lindigos:
можете ответить и на мой новый вопрос? буду ооооооочень благодарна
Вас заинтересует
2 года назад
3 года назад
3 года назад
8 лет назад
9 лет назад