• Предмет: Алгебра
  • Автор: Аноним
  • Вопрос задан 8 лет назад

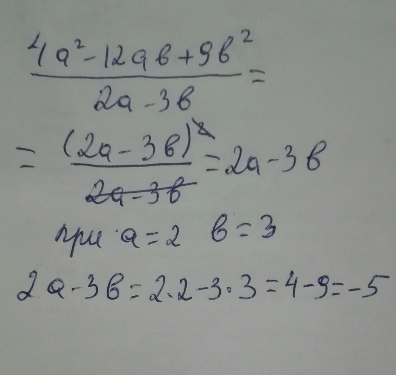
Нвйдите значение при а=2, в=3
Верных ответов: 3
после упрощения
получаем
ответ -5
числитель дроби
преобразуется в
ответ 13
после упрощения
получаем
числитель дроби
преобразуется в

Приложения:

Аноним: аааааааа
Аноним: аааааааааа
Аноним: аааа
Аноним: аааааааа
Аноним: ааааааа
Аноним: аааааааааааа
Аноним: ааааааа
Аноним: ааааааааа

Ответы

Ответ дал: 68tata
0

после упрощения получаем 2a-3b

Ответ:      -5

Решение:

\frac{4a^2-12fb+9b^2}{(2a-3b)}=\frac{((2a)^2-2*2a*3b+(3b)^2}{(2a-3b)}=\frac{(2a-3b)^2}{(2a-3b)}=2a-3b

при а=2 b=3

2a-3b=2*2-3*3=4-9=-5

Ответ дал: Sserikbaev
1

Нвйдите значение при а=2, в=3

Верных ответов: 3

после упрощения

получаем

ответ -5

числитель дроби

преобразуется в

ответ 13

после упрощения

получаем

числитель дроби

преобразуется в

Приложения:
Вас заинтересует