• Предмет: Алгебра
  • Автор: mahkamovadilya9
  • Вопрос задан 8 лет назад

помогите пожалуйста срочно решите на титраде ато не понятно спасибо​​

Приложения:

Ответы

Ответ дал: urabutenko710
0

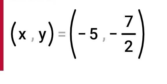
Ответ:

этот ответ будет лучшим

Приложения:
Вас заинтересует