• Предмет: Математика
  • Автор: danikmartynov99
  • Вопрос задан 8 лет назад

помогите пожалуйста мне разобраться​

Приложения:

Ответы

Ответ дал: vdovicenaustina
0

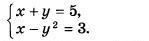
Ответ:

(x1, y1)=(7,-2)

(x2, y2)=(4,1)

Пошаговые обьяснения: скачайте photomathтам все подробно описано

Вас заинтересует