• Предмет: Математика
  • Автор: vladosiwe46
  • Вопрос задан 8 лет назад

Розв'язати систему рівнянь методом додаван ps срочнооооооо
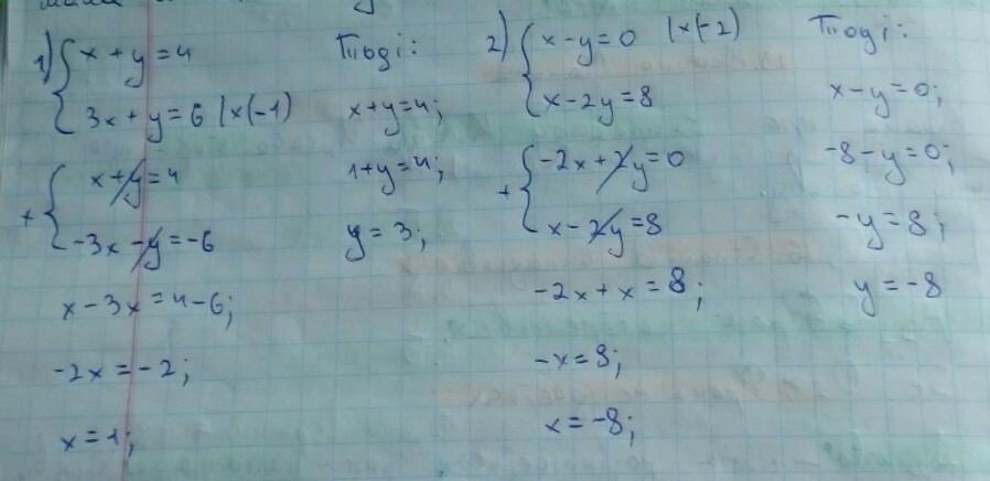
1) {x+y=4, 2) {x-y=0
{3x+y=6; {x-2y=8;

3) {y-x=-5. 4) {3x-2y=6
{2x+y=4; {x+2y=2;
Помогите пожалуста ​.


m1lashka1: методом подстановки?
vladosiwe46: додаваня

Ответы

Ответ дал: sofiavakulovych
0

1)(1;3)

2)(-8;-8)

3)(3;-2)

4)(2;0)

надіюсь допомогла

буду дуже вдячна якщо зробите кращою відповіддю ❤️

Приложения:
Вас заинтересует