• Предмет: Алгебра
  • Автор: daurbajhodzaev
  • Вопрос задан 8 лет назад

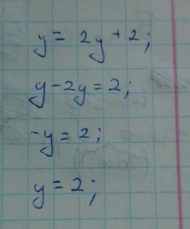
Постройте график функции y=2y+2
Срочно надо.
Заранее спасибо

Ответы

Ответ дал: sofiavakulovych
0

буду очень признательна если сделаете лутшим ответом ❤️

Приложения:
Вас заинтересует