• Предмет: Алгебра
  • Автор: ajbolitmaster
  • Вопрос задан 8 лет назад

Помогите пожалуйста!!! Заранее благодарю

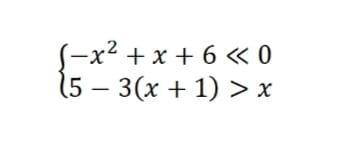
Приложения:

Ответы

Ответ дал: Аноним
5

Ответ:

на фото есть решение

Объяснение:

удачи .....

Приложения:
Вас заинтересует